Length ノード
説明
入力 In の長さを返します。これは、大きさ (magnitude) としても知られます。ベクトルの長さはピタゴラスの定理 (Pythagorean Theorum) を用いて計算されます。
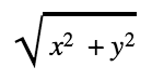
Vector 2 の長さは以下のように計算できます。

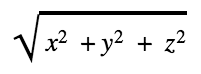
x と y は入力ベクトルの成分です。成分の追加や削除によって、他の次元のベクトルの長さの計算も可能です。

上記以外の次元も計算可能です。
ポート
| Name | Direction | タイプ | 説明 |
|---|---|---|---|
| In | 入力 | 任意のベクトル型 | 入力値 |
| Out | 出力 | Vector 1 | 出力値 |
生成されるコードの例
以下のサンプルコードは、このノードの出力の一例を示したものです。
void Unity_Length_float4(float4 In, out float Out)
{
Out = length(In);
}