Length Node | Shader Graph | 9.0.0-preview.72
docs.unity3d.com
    Show / Hide Table of Contents

    Length Node

    Description

    Returns the length of input In. This is also known as magnitude. A vector's length is calculated with Pythagorean Theorum.

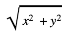
    The length of a Vector 2 can be calculated as:

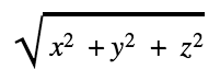
    Where x and y are the components of the input vector. Length can be calculated for other dimension vectors by adding or removing components.

    And so on.

    Ports

    Name Direction Type Description
    In Input Dynamic Vector Input value
    Out Output Vector 1 Output value

    Generated Code Example

    The following example code represents one possible outcome of this node.

    void Unity_Length_float4(float4 In, out float Out)
    {
        Out = length(In);
    }
    
    Back to top
    Copyright © 2023 Unity Technologies — Terms of use
    • Legal
    • Privacy Policy
    • Cookies
    • Do Not Sell or Share My Personal Information
    • Your Privacy Choices (Cookie Settings)
    "Unity", Unity logos, and other Unity trademarks are trademarks or registered trademarks of Unity Technologies or its affiliates in the U.S. and elsewhere (more info here). Other names or brands are trademarks of their respective owners.
    Generated by DocFX on 18 October 2023